Porte arrière

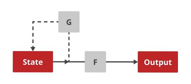
Explication des portes dérobées cryptographiques
Les portes dérobées sont généralement insérées dans un programme ou un algorithme avant d'être largement diffusé. Ils sont souvent cachés dans une par...